Bagi Anda yang saat ini duduk di bangku kelas 11 SMA atau sederajat, bisa memperbanyak latihan mengerjakan contoh soal matriks maupun latihan soal dengan materi lainnya.
Belajar mengerjakan contoh soal matriks sendiri sangat berguna untuk membantu memahami karakter-karakter soal yang ada.
Terkadang Anda pasti menemukan berbagai masalah terutama yang berhubungan dengan data dan angka. Dalam matematika permasalah tersebut disebut dengan matriks.
Tidak sedikit dari Anda mungkin mengalami kesulitan saat menghadapi soal – soal matematika dengan materi pembahasan tentang matriks.
Cara mudah agar Anda bisa dengan mudah mengerjakan contoh-contoh soal matriks adalah dengan membiasakan untuk menyelesaikan beberapa latihan yang diberikan bapak dan ibu guru.
Apabila Anda ingin belajar tentang kumpulan soal matriks beserta pembahasan yang sederhana, silakan simak dengan baik penjelasan dalam artikel berikut ini.
Mengenal Matriks
Sebelum membahas tentang contoh soal matriks beserta penyelesainnya, penting bagi Anda untuk mengetahui pengertian matriks terlebih dahulu agar memudahkan saat mengerjakan soal.
Bagi Anda yang belum memahami tentang matriks, bahwa dapat dikatakan matriks merupakan kumpulan dari bilangan yang tersusun dari baris, kolom, atau kedua bentuk tersebut.
Kedua bentuk tersebut, kolom dan baris bisa dikatakan matriks apabila menjadi sebuah bentuk bilangan yang tersusun dengan tanda kurung (buka dan tutup).
Elemen – elemen yang tersusun tersusun tersebut berasal dari sebuah bilangan tertentu selanjutnya membentuk sebuah bilangan matriks.
Perhatikan contoh matriks seperti gambar di bawah ini.

Bentuk Operasi Aljabar Matriks
Matriks merupakan suatu bilangan yang tersusun dan dinyatakan ke dalam bentuk baris maupun kolom dengan tanda kurung – buka pada bilangan tersebut.
Pengurangan dan Penjumlahan Matriks
Merupakan bentuk dari dua buah matriks yang bisa dikurangi maupun dijumlahkan, apabila keduanya memiliki satu ordo yang sama.
Untuk penyelesaiannya bisa dengan melakukan penjumlahan atau melakukan pengurangan pada elemen secara berada pada urutan yang sama atau seletak.
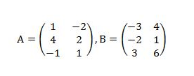
Perhatikan contoh matriks berikut!

Tentukan matriks tersebut!
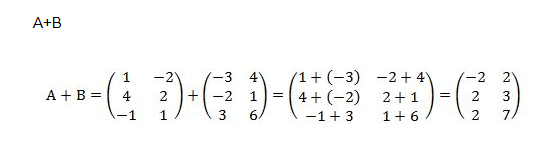
A+B

Macam – Macam Matriks Yang Harus diketahui
Setidaknya ada 6 macam matriks yang bisa ditemukan pada latihan dan contoh soal matriks kelas 11 SMA. Enam macam matriks tersebut antara lain yaitu:
Matriks kolom
Yang disebut matriks kolam apabila sebuah matriks hanya terdiri dari satu buah kolom dengan tanpa adanya baris lain pada kolom tersebut.
Perhatikan contoh berikut ini!

Matriks persegi
Contoh soal matriks yang cukup sering ditemukan pada materi kelas 11 yaitu mengenai matriks persegi.
Matriks persegi bisa dikatakan sebagai matriks yang memiliki jumlah baris dan kolom sama banyaknya, dan terdapat pada kumpulan matriks yang sama.
Perhatikan contoh berikut!

Matriks diagonal
Contoh soal matriks kelas 11 lain yang bisa ditemukan yaitu berkaitan tentang matriks diagonal yang merupakan bagian dari matriks persegi.
Lebih jelasnya matriks diagonal merupakan sebuah matriks persegi yang memiliki bagian pada setiap elemen. Tidak hanya elemen diagonal merupakan utamanya adalah 0 atau nol.
Sedangkan dari elemen diagonal sendiri yang paling utama dalah tidak sepenuhnya merupakan 0 (nol).
Perhatikan contoh berikut!.

Matriks identitas
Matriks identitas termasuk kedalam matriks yang dipelajari pada materi kelas 11. Bagi Anda yang belum mengetahui, matriks identitas merupakan matriks dengan bentuk persegi.
Disamping itu, bentuk persegi pada matriks tersebut seluruhnya adalah elemen diagonal utama yang memiliki nilai 1 dengan elemen lain dengan nilai 0 atau nol.
Secara umum, pada matriks identitas bisa menotasikan dengan 1 apabila diimbangi dengan ordo.
Perhatikan contoh berikut!

Matriks nol
Matriks nol merupakan matriks yang terbentuk dimana semua elemen nilainya adalah 0 (nol). Secara umum dapat dinotasikan dengan huruf O, dan diikuti dengan ordonya Omxn.
Perhatikan contoh berikut!

Matriks baris
Matriks bariks merupakan matriks sederhana karena hanya ada sau baris tanpa memiliki sebuah kolom dalam matriks tersebut.
.Perhatikan contoh berikut!
A = [9 8 7]
B = [5 6 – 3 6]
Jenis Matriks Yang Perlu diketahui
Selain macam – macam matriks seperti diatas, pengenalan pada jenis matriks juga harus Anda ketahui dengan baik karena contoh soal matriks salah seperti jenis matriks bisa ditemukan.
Secara umum, matriks terdiri dari 3 jenis, antara lain yaitu:
Invers Matriks
Invers matriks merupakan bentuk dari matriks A yang dinotasikan dengan lambang seperti A-1.
Perhatikan matriks berikut!

Sebuah matrks A bisa disebut sebagai invers apabila didukung dengan dua syarat. Kedua syarat tersebut yaitu:
- Apabila IAI = 0, maka matriks A tidak bisa mendapatkan invers. Oleh karena itu, bisa dikatakan matriks apabila bentuk matriks A merupakan bentuk dari matriks singular.
- Apabila A ≠ 0, maka nilai pada matriks A memiliki bentuk invers matriks. Oleh karena itu, bisa dikatakan matriks jika matriks A merupakan bentuk dari matriks nonsingular.
Transpos matriks
Matriks A atau transpos (At) merupakan bentuk dari matriks yang disusun melalui cara penulisan baris ke – I dengan matriks A merupakan kolom ke I dan sebaliknya.
Perhatikan matriks berikut!

Determinan
Pada matriks jenis determinan terdiri dari bentuk matriks A yang dinotasikan pada lambang IAI. Cara penentuan matriks yang memiliki ordo 2×2 yaitu:

Apabila pada matriks mempunyai ordo dengan 3×3, maka cara penentuannya menggunakan kaidah sarrus:

Baca juga: Contoh Soal Limit Fungsi Aljabar dan Pembahasannya
Contoh Soal Matriks Dan Pembahasannya
Setelah Anda mengenal pengertian, macam – macam dan jenis matriks seperti dijelaskan diatas, selanjutnya Anda akan mengenal apa saja contoh soal matriks dan pembahasannya.
Tentunya, pembahasan yang kami berikan berikut cukup mudah, sehingga akan memudahkan Anda untuk belajar dan lebih memahami tentang konsep matriks pada kelas 11.
Nantinya Anda akan menemukan contoh soal matriks perkalian maupun matriks bentuk lain seperti invers, matriks transpose, pengurangan maupun penjumlahan.
1. Apabila gambar 9 adalah . . .. . .
Pembahasan:

Sifat yang dimiliki matriks penjumlahan maupun pengurangan dalam suatu matriks adalah:
- A + B = B + A
- (A + B) + C = A + (B + C)
2. Apabila matriks telah dilakukan invers, tentukan berapakah nilai x pada soal berikut!
Pembahasan:
Dijelaskan bahwa kedua matriks telah dilakukan invers, maka syarat yang berlaku adalah: AA-1 = A-1A = I.
Maka:
Dalam sebuah elemen baris ke-1 pada kolom 1 mempunyai banyak persamaan seperti:
9(x -1) – 7x = 1
9x – 9 – 7x = 1
2x = 10
Nilai x adalah 5
3. Dijelaskan bahwa (….) tentukan berapakah nilai dari bilangan 3A!

Pembahasan:

Sekian pembahasan tentang contoh soal matriks beserta cara mudah dalam menyelesaikannya. Semoga sedikit penjelasan diatas bisa mempermudah dalam belajar.
Soal matriks diatas, tidak hanya diperuntukkan bagi Anda yang duduk di kelas 11 SMA atau sederajat, jenjang pendidikan lain juga bisa melakukan latihan dengan mengerjakan soal diatas.